| A | B |
| How many significant figures are in the number 28.6? | 3 |
| How many significant figures are in the number 20? | 1 |
| How many significant figures are in the number 20. ? | 2 (the decimal place makes the zero significant) |
| How many significant figures are in the number 20.0 ? | 3 |
| How many significant figures are in the number 0.04604 ? | 4 |
| How many significant figures are in the number 0.0057000 ? | 5 |
| How would you round 2.6549 to 4 significant digits? | 2.655 |
| How would you round 2.6549 to 3 significant digits? | 2.65 |
| How would you round 2.895 to 3 significant digits? | 2.90 (since the number before the 5 is odd, round up) |
| How would you round 2.945 to 3 significant digits? | 2.94 (since the number in front of the 5 is even, round down) |
| How would you round 2.9451 to 3 significant digits? | 2.95 |
| How would you round 0.0655 to 3 significant digits? | 0.0655 (No rounding is necessary since it already had 3 significant digits) |
| What is 2.5 X 9.9999 ? (express your answer with the correct number of significant digits) | 25 (since 2.5 only has 2 sig figs, the answer must also have 2 sig figs) |
| What is 10.0 divided by 2.0001267? (express your answer with the correct number of significant digits) | 5.00 (since 10.0 has 3 sig figs, the answer must also have 3 sig figs even though 2.0001267 has 8 sig figs) |
| What is 9.9 + 10.09? (express your answer with the correct number of significant digits) | 20.0 (since 9.9 has 1 digit to the right of the decimal place and it is an addition problem, the answer must also have 1 digit to the right of the decimal place because 9.9 has the fewest number of digits to the right of the decimal place of the numbers being added) |
| What is 112.8 - 15.311 ? | 97.5 (Since this is a subtraction problem, and 112.8 has only one number to the right of the decimal place so the answer must also have one number to the right of the decimal place |
| What is 0.00012 in scientific notation? | .,  |
How would you write the expression below without using scientific notation?,  | .,  |
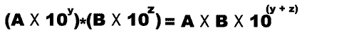
How would you evaluate the expression below?,  | * Note, this only works if the exponent for both numbers is the same. These rules also apply to subtraction problems if you just change the plus to a minus,  |
The dart board analogy for precision and accuracy shows ____ precision and _____ accuracy in the picture below.,  | high precision and high accuracy (the darts were accurate because they hit the bulls eye and they were precise since they were all close together),  |
The dart board analogy for precision and accuracy shows ____ precision and _____ accuracy in the picture below.,  | High precision (because the marks are all close together) but low accuracy (because they are all far from the bull's eye),  |
How should you record the length of this nail?,  | 6.35 cm,  |
The dart board analogy for precision and accuracy shows ____ precision and _____ accuracy in the picture below.,  | Low precision (because the darts aren't close together) and low accuracy (because they aren't near the bull's eye),  |
The dart board analogy for precision and accuracy shows ____ precision and _____ accuracy in the picture below.,  | Low precision (because the points aren't close together) but high accuracy (because they would average out to be on target),  |
How would you evaluate the expression below?,  | .,  |
| What is the equation for determining percent error? | .,  |
How would you write the expression below without using scientific notation?,  | .,  |
How would you evaluate the expression below?,  | .,  |
| Two quantities are ______ proportional to each other if dividing one by the other gives a constant value. | directly |
| Two quantities are directly proportional to each other if ______ one by the other gives a constant value. | dividing |
| Two quantities are inversely proportional to each other if ______ one by the other gives a constant value. | multiplying |
| Two quantities are _______ proportional to each other if multiplying one by the other gives a constant value | inversely |
The graph below shows that the volume of aluminum is _____ proportional to the mass of aluminum.,  | directly (notice it has a constant slope = volume divided by mass),  |
The graph below shows that the volume of nitrogen gas is ______ proportional to the pressure applied to the gas.,  | inversely,  |