| A | B |
The radius or diameter of a circle to a line of tangency is _______.,  | Perpendicular |
Tangent segments from a common external points are _______.,  | AB is Congruent BC |
Given the chords are congruent then ________.,  |  |
Given the figure, QS must be _______.,  | Diameter |
Given the figure, what arcs must be congruent.,  |  |
If EF = EG then _______,  | AB = CD |
What is the formula for the measure of an inscribed angle?,  |  |
Complete the sentence: Two inscribed angles of a circle intercept _____, then the angles are ______.,  | arc AB, congruent |
What is the measurement of angle C? Why,  | Angle C is a right angle because intercept arc is 180 degrees. |
Quadrilateral can be inscribed in a circle if its opposite angles are ____.,  | Supplementary |
Tangent to chord: What is the equation to find the measurement of angle 1?,  |  |
Tangent to chord: What is the equation to find the measurement of angle 2?,  |  |
Chord to chord: What is the equation to find the measurement of angle 1?,  |  |
Chord to chord: What is the equation to find the measurement of angle 2?,  |  |
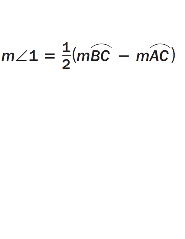
Tangent to secant: What is the equation to find the measurement of angle 1?,  |  |
Tangent to tangent: What is the equation to find the measurement of angle 2?,  |  |
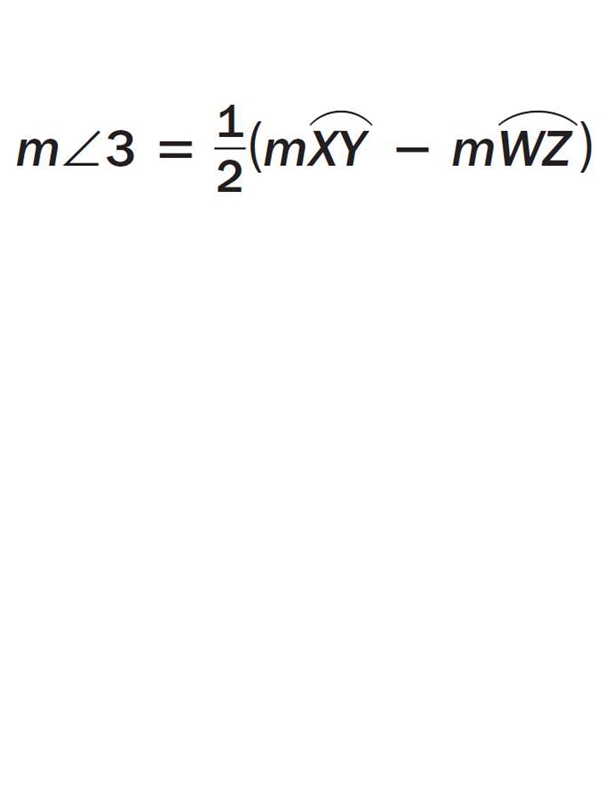
Secant to secant: What is the equation to find the measurement of angle 3?,  |  |
Segment Chord to Chord: What is the equation?,  |  |
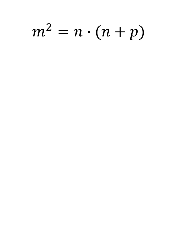
Segment Tangent to chord: What is the equation?,  |  |
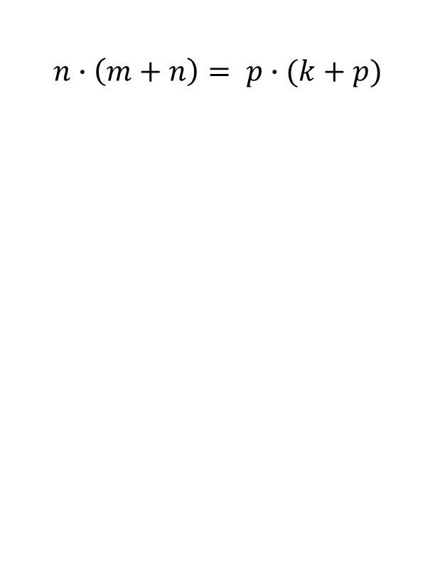
Segment Secant to Secant: What is the equation?,  |  |
What is the standard equation for a circle?,  |  |