Home
FAQ
About
Log in
Subscribe now
You will not be able to use the accent buttons because you need to upgrade your browser or you have disabled JavaScript.
Accent bar
ā
á
ǎ
à
ē
é
ě
è
ī
í
ǐ
ì
ō
ó
ǒ
ò
ū
ú
ǔ
ù
ǖ
ǘ
ǚ
ǜ
ü
Ā
Á
Ǎ
À
Ē
É
Ě
È
Ī
Í
Ǐ
Ì
Ō
Ó
Ǒ
Ò
Ū
Ú
Ǔ
Ù
Ǖ
Ǘ
Ǚ
Ǜ
Ü
Java Games:
Flashcards, matching, concentration, and word search.
2.1 Properties of Exponents
Tools
Copy this to my account
E-mail to a friend
Find other activities
Start over
Help
A
B
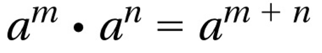
Product of Powers
$ \huge {a^m \bullet a^n = a^{m+n}} $
,
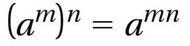
Power of a Power
Power of a Product
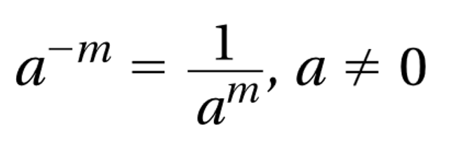
Negative Exponent
Zero Exponent
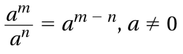
Quotient of Powers
Power of a Quotient
Scientific Notation
Mr Bernabe
DAIS
View profile
This activity was created by a Quia Web subscriber.
Learn more about Quia
Create your own activities