Home
FAQ
About
Log in
Subscribe now
Java Games:
Flashcards, matching, concentration, and word search.
Area Under the Curve
Tools
Copy this to my account
E-mail to a friend
Find other activities
Start over
Help
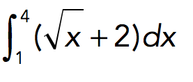
Match the figure with its definite integral
A
B
Mrs. Brandl
teacher
View profile
This activity was created by a Quia Web subscriber.
Learn more about Quia
Create your own activities