Home
FAQ
About
Log in
Subscribe now
Java Games:
Flashcards, matching, concentration, and word search.
Foundations U6 L1 Review - Systems of Linear Equations - Graphs
Tools
Copy this to my account
E-mail to a friend
Find other activities
Start over
Return to class page
Help
A
B
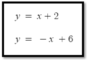
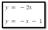
(2, 4)
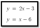
(1, -2)
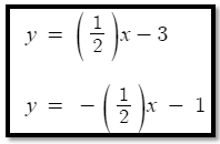
(2, -2)
(2, 5)
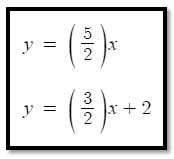
(-3, -9)
This activity was created by a Quia Web subscriber.
Learn more about Quia
Create your own activities