| A | B |
| main source of quick energy for most organisms |  |
| long-term energy storage; part of biological membranes; waterproof coverings/barriers |  |
| Enzymes are an example of this macromolecule. | Proteins |
| store and transmit hereditary/genetic information |  |
| molecular structure of protein |  |
| elements in carbohydrates and lipids | C,H,O |
2 sugar molecule, such as sucrose,  | Disaccharide |
| 1 sugar molecule, such as glucose (C6H12O6) | monosaccharide |
Monosaccharide,  | Carbohydrate monomer |
Amino acids,  | Protein monomer |
| glycerol and 3 fatty acids |  |
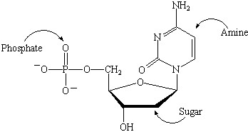
nucleotides,  | Monomer of nucleic acids |
| Elements of Nucleic acids | C,H,O,N,P |
| The chemical process used to join monomers to make polymers | Condensation reaction (aka dehydration synthesis) |
| Examples of Proteins | Keratin, muscles, meat, nuts, hemoglobin |
| Examples of Nucleic acids | DNA and RNA |
| Examples of Lipids | Waxy cuticle of plants, oils, butter, phospholipids |
| Examples of Polysaccharides | starch, glycogen, cellulose |
| proteins that function as biological catalysts | Enzymes |
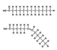
| Have only single bonds between each carbon atom and they have a solid consistency at room temperature | Saturated fats |
| liquid at room temperature, come from plant sources and have at least one double bond between carbon atoms | Unsaturated fats |
| produced in photosynthesis, short term energy, simple sugar | glucose |
| protein that binds oxygen for transport in blood | Hemoglobin |
| protein hormone that controls blood sugar | Insulin |
| Growth, repair, build muscles, speed reactions | Protein |
| Starch is a complex polysaccharide carbohydrate found in | Plants |
| This macromolecule type provides long-term energy and is a part of the cell membrane | Lipids |
| Compound containing carbon, hydrogen, and oxygen in the approximate ratio of 1C:2H:1O | Carbohydrates |
| A protein that makes a reaction happen QUICKER; decreases activation energy of a reaction. | Enzyme |
a carbohydrate that is composed of many monosaccharide units joined,  | Polysaccharide |