 |
Java Games: Flashcards, matching, concentration, and word search. |
 |
 |
DNA Terms and Pictures
You will have descriptionas as well as terms for each picture.
|
| A | B |
Replication,  | A copy of DNA is made |
Transcription,  | mRNA is made |
Translation,  | Proteins are made |
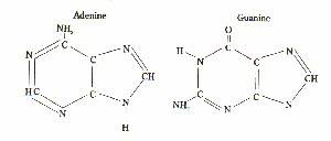
Purines,  | Nitrogen bases with double rings |
Pyrimidines,  | Nitrogen bases with single ring |
tRNA,  | Carries amino acid to ribosome |
rRNA,  | Makes up the ribosome |
mRNA,  | Carries DNA code to ribosome |
Nucleotide,  | Consists of phposphate, sugar and a nitrogen base |
DNA,  | Contains the hereditary material in the nucleus |
|
| |