 |
Java Games: Flashcards, matching, concentration, and word search. |
 |
 |
Factoring
Practice factoring trinomials with and without the coefficent a, differece of squares and greatest common factor
|
| A | B |
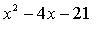
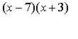
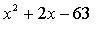
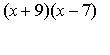
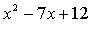
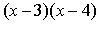
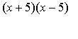
Factor,  | Answer,  |
Factor,  | Answer,  |
Factor,  | Answer,  |
Factor,  | Answer,  |
Factor,  | Answer,  |
Factor,  | Answer,  |
Factor,  | Answer,  |
Factor,  | Answer,  |
|
| |