| A | B |
Two charged spheres of equal size carry a charge of +6C and -4C respectively. The spheres are brought in contact with one another for a time sufficient to allow them to reach an equilibrium charge. They are then separated. What is the final charge on each sphere?,  | +1. The total charge on the two spheres is +6 + (-4) = +2. Equilibrium charge means that both spheres will have the same charge, so when they are separated, they will carry away a charge of +1 each.,  |
| What is the equation for Coulomb's Law? | F = to the electric force of attraction or repulsion between two charges. K is a constant. Q1 and Q2 are the two charges and the magnitude of the charges is measured in Coulombs (C). R is the distance between the two charges.,  |
| What happens to a hard rubber rod when you rub it on a piece of fur? | It picks up a negative charge because the rubber pulls electrons out of the fur. |
| What happens when you rub a glass rod on a piece of silk? | The glass rod becomes positively charged because the silk pulls electrons off the glass |
| What happens if you put a negatively charged rod near the top of a neutrally charged electroscope? What happens if you touch the rod to the top of the electroscope? | The leaves will move apart because electrons are being repelled toward the leaves. If you touch the negatively charged rod to the electroscope, some of the electrons from the rod will transfer to the electroscope, giving it and the leaves a negative charge. Even if you pull the rod away, the leaves will remain apart due to the excess electrons in the system. The exact same thing happens if you put a positively charged rod near the electroscope, except the leaves will be positively charged as the electrons in the electroscope attract toward, or into the positively charged rod.,  |
| In which direction do electric field lines point? | Electric field lines point in the direction that a positively charges object would feel the force from that electric field.,  |
| Given the magnitude of an electric field (measured in Newtons per Coulomb), how would you find the magnitude of the force it puts on a charged particle? | Use the equation F=qE where q = the charge of the particle in the electric field and E is the magnitude of the electric field. |
| How do you define electric potential (V)? | Electric potential is defined as the amount of work you would have to do on a charge to move it against an electric field. |
| One joule per coulomb = ? | 1 Volt |
| What is the equation for calculating the electric potential difference between two points? | delta V = work divided by the charge (q) that can move. |
| What is a capacitor? | A capacitor is a contraption where conducting plates of opposite charge are set up parallel to each other to produce a uniform electric field and are used to store charge and electric field that can be used at a later time.,  |
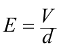
| Which equation relates Electric Field, Voltage and Distance? | .,  |
| What is the unit used to describe an electric field? | Newtons per Coulomb (N/C) = Volts/meter (V/m) |
| Which way is current shown to flow through a circuit? | Current is defined as the movement of positive charge (though in reality, it is the electrons that are usually moving), therefore, current is shown to be moving in from the positive end of the circuit toward the negative end of the circuit. |
| What is the equation that relates voltage, current and resistance? | Current = Voltage divided by resistance. |
| An "ohm" is a measure of ______ and is equal to a __________. | resistance, 1 ohm = 1 volt per amp |
| An ammeter measures _____ and is always placed in _____ with a resistor. The resistance on an ammeter is ____. | Current, Series, Low. Ammeters measure current and are always placed in series with a resistor so the same current will flow through the resistor and the ammeter. Ammeters have low resistance themselves so as not to interfere with the current.,  |
| A voltmeter measures _____ and is always place in ____ with the resistor. The resistance of the voltmeter is ____. | Voltage, Parallel, High. A voltmeter measures the voltage across the resistor and is placed in parallel with the resistor so that the votage will be the same across the resistor and the voltmeter. The resistance of the voltmeter is high so as not to draw any current away from the resistor.,  |
| An amp = _____ mA (milliamps) | 1000 |
| What are the three equations that relate power, current, voltage and resistance? What is the unit of measurement for power? | The unit is the Watt (= Joules/second). To remember the power equation, just remember P=IV. The rest can be easily derived by remembering I=V/R,  |
| When resistors are in series, the total resistance in the circuit = _____. | The sum of the resistance in all the resistors |
| In a simple circuit with resistors in series, how do you find the current across each resistor? | The current will be the same across all resistors and can be calculated using I = V/sum of R |
| In a simple circuit with resistors in series, how do you find the voltage drop across each resistor? | First, calculate the current going through the circuit using I = V total / R total. Then calculate the voltage drop at each resistor using V = I x R of that resistor. |
| What does an ohmmeter measure and what must you remember when using an ohmmeter? | An ohmmeter measures the resistance of a resistor. You must remember to disconnect the power source (not just turn it off) and connect it in series. The ohmmeter has its own power source to run through the resistor and measure the current to find out the resistance. |
| In a series circuit, the resistors get the same ____; in a parallel circuit, the resistors get the same ___. | current, voltage |
| What is the equation for figuring out total resistance for a parallel circuit? | .,  |
| What is the equation for calculating the capacitance of a capacitor and what are the units? | Q = the charge on one of the plates, V = voltage and the unit is a coulomb/volt = a farad,  |
| How do the area of the plates in a capacitor and the distance that they are separated by affect capacitance? | Capacitance is directly proportional to the area of the plates and inversely proportional to the distance between them. Basically, the bigger the area and the closer the plates, the greater the capacitance. |
| What is a resistance-capacitance circuit? | A resistance-capacitance circuit is simply a circuit containing a battery, a resistor, and a capacitor in series with one another. |
| What's the difference in the way that an empty capacitor and a capacitor full of charge affect current. | When a battery is first hooked up to an empty capacitor, current flows through the wires without any resistance from the capacitor. The current can be calculated using the equation I=V/R. As the capacitor fills with charge, it provides more and more resistance until the capacitor becomes full of charge and the current drops to zero. |
A resistance-capacitance circuit is connected as shown. After a long time, the current in the 2 ohm resistor is ___.,  | 1 amp. After a long time, the capacitor is full of charge and does not allow any more current to flow through it. Thus, the current from the battery will only flow through the resistors and the current will be I=10V/10ohm=1 Amp,  |
| What is a "domain"? | A cluster of magnetically aligned atoms. |
| How do you determine the direction of magnetic field lines around a single wire with a current flowing through it? | Use the first right hand rule as pictured below. (BEWARE - if they tell you the direction of electron flow, remember that it is opposite of current flow, so use the left hand rule instead),  |
| What are the symbols vectors that point into and out of the page? | An "X" denotes a vector pointing into the page and a dot represents a vector coming out of the page. |
| How do you find the direction of force on a wire with current on it or a charged particle when it enters a magnetic field? | Use the second right-hand rule where your fingers are pointing in the direction of the magnetic field (not the one produced by the wire) and the thumb is pointing in the direction of the current or positively moving charge. The palm will face toward the direction of force. REMEMBER - electrons entering a magnetic field will feel the opposite force. |
| How do you find the force on a current-carrying wire that has been placed in a magnetic field? | F=ILBsin@ Where I=current, L=length of the wire, B is the magnetic field (in Teslas) and @ is the angle between the magnetic field and the wire. (A wire running in the same direction as the magnetic field has an angle of zero and will experience no force) |
| How do you find the force on a charged particle entering a magnetic field? | F=qvBsin@ where q=the charge in Coulombs, v=velocity in m/s, B is the magnetic field in Teslas and @ is the angle between the velocity and the magnetic field. |
| Describe the path that a charged particle will take when it enters a magnetic field. | A charged particle will make a U-turn as it will continuously experience a force that is perpendicular to it's velocity vector. The magnetic force becomes a centripetal force so the two equations can be equated by qvB=(mv^2)/r See the picture below for the path of a positively charged particle through a magnetic field that is pointing into the page.,  |
| What are two types of mechanical waves? Give an example of each. | Transverse waves (guitar string) and longitudinal (sound wave) |
| Sound waves travel faster through ____. | denser media (like water) |
| Give two equations for finding the speed of mechanical waves. | In the equation below, lambda = wavelength, f=frequency and T=period.,  |
| What is the relationship between Period (T) and frequency (f)? | T=1/f |
| The frequency of a sound wave is detected as ___. | pitch |
| The amplitude of a sound wave is detected as ____. | loudness |
| Harmonics is ___. | the combination of several simultaneous frequencies that give sound its special tone. |
| The doppler effect as it applies to sound affect a sound's ___. | frequency or pitch |
| Refraction of a wave is the ____. | bending of a wave due to its passing through a different medium (like glass or water) |
| What is the only thing that doesn't change about a wave when it undergoes refraction? | It's frequency (speed and wavelength will change) |
| Diffraction of waves is the ___. | bending of waves around a barrier |
| When two waves contructively interfere with each other, the resultant large wave is called the ___. | antinode |
| When two waves destructively interfere with each other, the flat spot is called the ___. | node |
| How is the angle of incidence of light entering glass related to the angle that light exits the glass? | The angle of incidence (= to the angle from the line perpendicular to the glass) is the same angle as the angle the light leaves the glass relative to the line perpendicular to the exiting surface of the glass.,  |
| What does the index of refraction of a substance tell you about the change in speed of light as it travels through that substance? | It tells you by how much the light slows down. n=c/v so v=c/n. For instance, the index of refraction of water is 1.3, therefore, the velocity of light in water = 3X10^8/1.3. |
| What is snells law of refraction? | n1sin@=n2sinB Where n1 and n2 are the indices of refraction for the two media and @ and B are the angles from the normal in each media. Remember, if given just the angles and asked to find the index of refraction for a media, you can assume that the index of refraction (n1) of the originating media is 1.,  |
| What is the critical angle as it relates to refraction of light. | The critical angle is the angle from normal from which any angle greater would cause the light to refract back into the same media.,  |
| Which color of light, when passed through a double slit opening, will produce the widest central band of light? | Red, because the width of the central band is proportional to the wavelength.,  |
| What is a virtual image? | A virtual image is an image that can't be projected onto a screen |
| What's another word for a diverging mirror? | Convex mirror |
| What's another word for converging mirror? | Concave mirror |
| What would you see as you walk toward a concave mirror? | At first, you would see yourself upside down, but as you pass the focal point of the mirror, your image would flip to right-side up.,  |
| What's another word for converging lens? | Convex lens,  |
| What's another word for a diverging lens? | Concave lens,  |
| What is a real image? | A real image is one that can be projected onto a screen. |
| To find the image that a convex lens makes, which two rays must you draw? | One ray should enter the lens straight from the top of the object and bends through the focal point on the other side. The other ray goes straight through the center of the lens and does not bend. Where the lines intersect is the top of the new image.,  |
| How do you find the magnification of a converging lens? | The magnification is simply a ratio of the image distance to the object distance. For instance, if the object is 30 cm from the lens and the focal lines produce an image 60 cm from the lens, the object will appear to be magnified by a factor of 2. |
| What happens when you put an object inside the focal point of a convex lens? | You get a virtual image as shown below.,  |
| For a concave lens, describe the image produced and what happens when you move the object relative to the focal point. | You wil always get a virtual image inside the focal point that is erect.,  |
| What is the equation for calculating the heat of a substance? | Q=mc(delta T) Where Q=heat, m=mass, c=the specific heat of the substance and T=temperature. If the substance is undergoing a phase change (and therefore not changing temperature) you would use the equation Q=mL where L = the heat of transformation (ex: heat of fusion, sublimation or vaporization given in J/kgC) |
| What are the 3 types of systems as they relate to thermodynamics? | Isolated where neither energy or matter can be exchanged; Closed where only energy can be exchanged; and Open where both energy and matter can be exchanged. |
| What is the ideal gas law equation? | PV=nRT where n=moles, R is a constant and T is temperature in Kelvin. For practical purposes, you can use the equation below to find out how a change in one parameter affects the rest.,  |
| What is the photoelectric effect? | The use of light to cause electrons to be emitted from metals. |
| What would a graph of energy versus frequency of EM radiation look like? What is the slope of this graph? | Notice that energy is directly proportional to frequency. The slope of the graph is h (=Planck's constant). E=hf,  |
| What are the equations for the energy of EM radiation as it relates to frequency and wavelength? | Remeber that h=Planck's constant,  |
| What is the equation for calculating the momentum of a photon? | .,  |
| According to De Broglie, light can behave like a particle, but in addition, any particle can behave like a wave. What is the equation for determining the wavelength of an object moving at a certain speed? | .,  |
| What does "threshold frequency" mean as it relates to the photelectric effect? | The threshold frequency is the minimum frequency needed to remove an electron from a certain metal. In order to give the electron some additional kinetic energy so that it can go somewhere, you would have to shine a light that exceeds the threshold frequency onto the metal. |
| What happens if a photon of energy hits an atom but the photon has more energy than the difference between any of the energy levels? | An electron will absorb the photon and will leave the atom (ionization). The excess energy will be converted into kinetic energy of the electron. |
| What will if a photon hits an atom, but the photon doesn't have more energy than the difference between any of the energy levels and doesn't have the exact amount of energy corresponding to the difference in energy between any two energy levels. | The photon will pass right through because it doesn't match the energy level differences and it doesn't have enough energy to ionize the atom. |
| What is the name of the force that holds a nucleus together? | strong nuclear force |
| Where does the binding energy that holds a nucleus together come from? | As protons and neutrons assemble into larger nuclei, they lose mass as mass is converted into energy, some of which is used to hold the nucleus together. |
| A fast moving clock will run ______ , weigh _____ and appear _____ than a clock at rest | A fast moving clock will run slower, weigh more, and appear thinner than a clock at rest |
| If two current-carrying wires are close together, what kind of force do they apply to each other depending on the direction of the currents in each, and why do they produce these currents? | Each wire has a magnetic field (the direction of which can be determined by the right-hand rule). Therefore, they will apply an attractive force on each other if both currents run the same direction and a repulsive force if the currents run in opposite directions. |
| What is the name of the phenomenon which explains why the sky appears blue? | Rayleigh scattering,  |
| What is a blackbody? | blackbody - an object which absorbs all radiation falling upon it, and does not reflect any. All radiation emitted by a blackbody is due to its temperature. A star is a near perfect blackbody |
| How is the peak wavelength of emitted radiation affected by an object's temperature? | The peak wavelength radiated by an object is inversely proportional to its temperature (Wien's Law) |
| How is the amount of energy radiated by an object related to the object's temperature? | The energy that an object emits increases as a function of temperature increase to the 4th power (Stefan-Boltzmann law). So, for example, if one star is twice as hot as another star, it radiates 16 times as much energy. |
| How do you calculate the pressure at a certain depth in a fluid? | Pressure (bottom) = Pressure (top) + density x gravity x height |
| Which color of light will refract the most through a prism? | blue because shorter wavelengths refract more than longer wavelengths |